|
Dog Chess is a game suitable for dogs of all shapes and sizes. It requires only a
ball, a reasonably clear playing area, and an owner vulnerable to psychological manipulation.
It can be played on any reasonably sized, clear area, such as a park,
and requires only yourself, your owner, and one or more balls. Sticks may be substituted for balls,
and a ball thrower can be used to throw the ball if your owner would rather not reveal to the
entire world that he throws like a complete girl.
Rules of the Game
The purpose of Dog Chess is to manoeuvre your owner around the playing area by
strategically failing to retrieve your ball. Your score points for each metre or yard that you
force your owner to walk, and lose points for each metre or yard that you are required to walk. The
game continues until either the walk is over, or all balls are lost or stolen.
Basic Strategies
Like many games, Dog Chess requires initial sacrifices to me made for long-term
gain. Whilst it might seem superficially advantageous to simply refuse to chase any thrown ball,
such a strategy will swiftly degenerate into a bitter, sulking stalemate. So the game should always
start with you chasing and retrieving your ball, at least once, and possibly twice. Once a pattern
has been established, you can then start throwing in some of the following variations.
The Short Return
This is a simple manoeuvre where you do retrieve the ball, but then drop the
ball and halt while only part of the way back to where your owner is waiting, thus forcing him to
walk over to you.
The Short Drop
This is similar to the Short Return, but having dropped the ball while only
part of the way back, you carry on running without it, returning to your owner's side with the ball
now some way distant. While theoretically an inferior move to the Short Return, due to the greater
distance that you have run, it can gain over the Short Return by making your owner less likely to
insist on you fully returning the ball.
The "Ghost" Return
In this manoeuvre, you fetch the ball, but then return on a different track,
very carefully and deliberately placing the ball in a completely different location from the one
where your owner is currently standing. For extra effect, you can back away expectantly, whilst
still staring intently not at the spot where your owner is waiting, but at the empty spot you've
just placed the ball beside.
The Return With Velocity
This manoeuvre is especially suitable when playing with a hard rubber ball on a
tarmac surface. Do a conventional return and fetch, returning all the way to your owner, but then
release the ball while still moving at speed. The ball will hopefully shoot straight past your
owner forcing him to sprint frantically after it.
The Dummy
One simple but devastating strategy is to tempt your owner into making a huge
throw with a display of intense enthusiasm (whining, pawing at the ground, adopting a
"sprint-start" crouch), but then drop straight down into a prone position the moment he's made the
throw.
Note: it's best to use this manoeuvre sparingly as overuse can bring the game
to a rapid and premature conclusion.
Advanced Strategies
Once you've mastered the basic strategies, you can move onto more advanced
manoeuvres in which you start to dictate not only where and how your owner walks post-throw, but
where he walks pre-throw and the direction in which he throws. It is important to note that these
strategies begin before your owner makes his throw, and can extend over multiple throws.
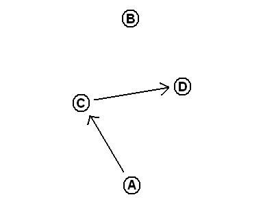
The Cross
For this manoeuvre, you position yourself in front and to the side of the
imaginary line along which you wish your owner to throw the ball. In the diagram, if your owner is
currently standing at point A, and you wish him to throw the ball to point B, you should position
yourself at point C. Then, when your owner throws the ball to point B, you should pause for a
moment, and then trot across to point D, forcing him to walk to point B.
You can then repeat his manoeuvre back-to-back, with him throwing the ball back
to point A, and you ignoring it and instead walking back over to point C, forcing him in turn to
walk back to point A.
(My fellow Border Collies will find that it's about this point that their owner
is liable to start making sarcastic remarks about how they - the owners - are supposed to be the
shepherds and not the sheep).
Multi-Player Games
Standard Dog Chess involves only two players, yourself and your owner.
Multi-player variants of the game allow multiple dogs and owners to compete. It is important to
note that you should not directly interact with the other dogs save to steal their ball, thus
forcing your owner to walk over to the other owner to apologise.
Your owner will often encourage you to play with the other dogs, plead even,
and perhaps even mutter something about you suffering from "only dog syndrome".
But you must ignore him and stay focussed on the task. (If you're a Border
Collie like myself, this should come naturally to you). Nothing can more damage your score than
accidently getting in contact with your inner wolf and spending a mad ninety seconds charging
around with a bunch of other dogs.
A multi-player game brings a number of other options into play.
The Ball Switch
This manoeuvre requires there to be two balls in your immediate vicinity, your
ball, and a ball you have stolen from another dog and are being temporarily allowed by that dog's
owner to keep. To perform it, first watch as your owner throws your ball, and then walk over to the
other ball and indicate - by pushing at it with your snout, for example - that this was the ball
you wanted thrown. Your owner will then have to first throw that ball, and then walk over to the
original ball to retrieve it.
Of course, a throw or two later you can repeat this manoeuvre, indicating that
it is now your original ball you want thrown.
"Let Him Have It"
Quite often, a multi-player game will involve you and another dog chasing for
the same ball. In this case, points can be generated by the simple expedient of giving up early in
the chase and letting the other dog retrieve the ball. (In the case of small, but potentially
vicious dogs, this is generally a good strategy anyway). Ideally, the other dog will refuse to
release the ball, forcing your owner and its to sprint around the park after it, while you look
calmly on.
Hazards
Water
When at the beach, non-swimmers such as myself must take particular care to
avoid pushing our owner into throwing the ball too far into the sea, beyond our wading depth. Your
owner might possess god-like powers of food production, but he is not Jesus Christ and he cannot
walk on water, no matter how pitifully you cry as the two of you watch your ball drift slowly out
towards France.
Lost / Mislaid Balls
Your owner might expect you to be skilled at retrieving balls that have been
lost in long grass or undergrowth, given your supposedly superior sense of smell. Quite frankly,
this is a tired old stereotype not to be encouraged. He threw it, so he should find it. You should
simply sit or stand to one side, encouraging him in his search by throwing in the occasional
pathetic whine or urgent pawing at the ground.
Dubious Tactics (Gamesmanship)
Carpet Pooing
If you feel the need to do a number two midway through the game, you can force
your owner to walk further by the simple expedient of moving several feet between each motion,
dropping several small deposits spread over several feet in preference to one, convenient, pile.
During Autumn (Fall) months, a particularly effective technique is to do your business in an area
entirely covered by fallen, brown leaves, forcing your owner to spend several minutes
criss-crossing the area searching for lumps of poo nearly identical in colour to the leaves.
Good luck finding it in there!
The Spirit of the Game
In the end, it's important to remember that this is about enjoyment and
satisfaction, not points. There are few things more satisfying than lying on a comfortable spot of
grass, watching your owner walking around a nice park getting some much needed exercise.
Happy playing!
Contents... Copyright � 2011 Jonny Nexus
|